近日,天津市卫生人才网发布2020年度天津市卫生健康委员会所属事业单位公开招聘公告,天津18家医院公开招聘医疗人才。
天津市第一中心医院

天津市人民医院

天津市第二人民医院

天津市第三中心医院

天津市第三中心医院分院

天津市第四中心医院

天津市职业病防治院
(天津市工人医院)

天津市南开医院

天津市儿童医院

天津市海河医院

天津市天津医院

天津市环湖医院

天津市胸科医院

天津市安定医院

天津市中心妇产科医院

天津市眼科医院

天津市口腔医院

天津市中医药研究院附属医院

来源 | 天津卫生人才网
近日,天津市卫生人才网发布2020年度天津市卫生健康委员会所属事业单位公开招聘公告,天津18家医院公开招聘医疗人才。
天津市第一中心医院

天津市人民医院

天津市第二人民医院

天津市第三中心医院

天津市第三中心医院分院

天津市第四中心医院

天津市职业病防治院
(天津市工人医院)

天津市南开医院

天津市儿童医院

天津市海河医院

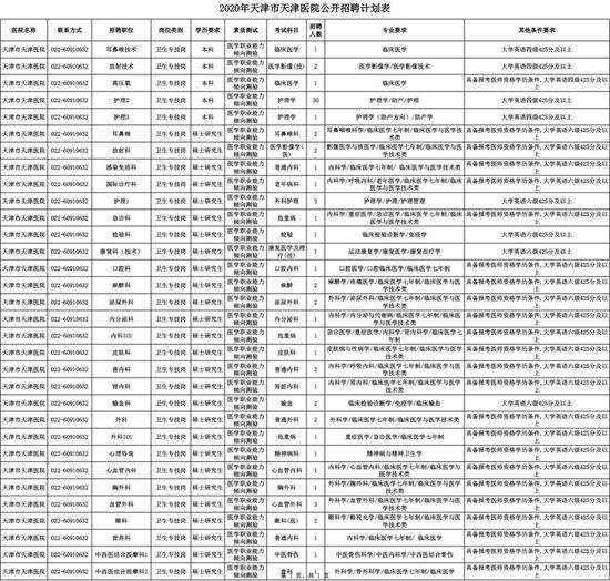
天津市天津医院

天津市环湖医院

天津市胸科医院

天津市安定医院

天津市中心妇产科医院

天津市眼科医院

天津市口腔医院

天津市中医药研究院附属医院

来源 | 天津卫生人才网
12-31 11:16评论()|
12-31 11:13评论()|
12-31 11:10评论()|
12-31 11:07评论()|
12-31 11:03评论()|
12-31 11:01评论()|
12-31 10:59评论()|
12-31 10:14评论()|
12-31 10:10评论()|
12-31 10:07评论()|